• Предмет: Математика
  • Автор: valikolpoe
  • Вопрос задан 3 года назад

Привет, помогите пожалуйста решить примеры:

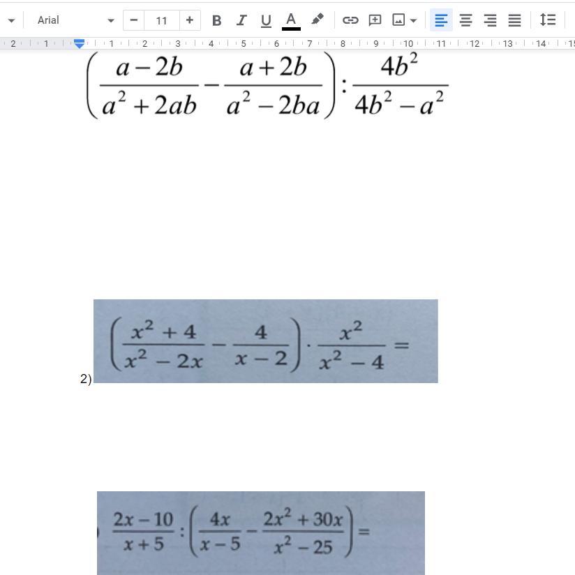
Приложения:

Ответы

Ответ дал: nastyacheru
0

Ответ:

1) 2/b

2) x/x+2

3) x-5/x

Пошаговое объяснение:

Вас заинтересует