• Предмет: Математика
  • Автор: dianari1701
  • Вопрос задан 3 года назад

помогите пожалуйста ,очень срочно нужно​

Приложения:

hoholkitya: тебе прямо с решением всего?

Ответы

Ответ дал: hoholkitya
1

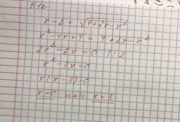
ответа я не дождалась, надеюсь, хоть так помогу

В1 - 2,4

В2 - -1

В3 - -2

В4 - 72

В5 - (7; +Б)

В6 - -1

В7 - -2

и остальное ниже

Приложения:

dianari1701: спасибо большое❤
Вас заинтересует