• Предмет: Алгебра
  • Автор: Аноним
  • Вопрос задан 3 года назад

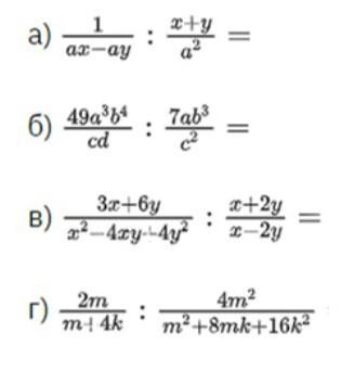
Выполнить умножение и деление алгебраических дробей​

Приложения:

Ответы

Ответ дал: treasury8352
1

Ответ:

...........................

Приложения:
Вас заинтересует