• Предмет: Физика
  • Автор: maulinrasul60
  • Вопрос задан 3 года назад

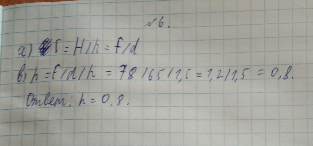
6. Предмет высотой 1,5 см помещен на расстоянии 65 см от линзы. Какой

высоты получится изображение, если оно находится на расстоянии 78 см от

линзы?

a. Запишите формулу линейного увеличения линзы. __________________________________________________________



b. Вычислите высоту полученного изображения.​

Ответы

Ответ дал: zadorozhniydaniil200
29

Ответ:

на фото))))))))))))))))))))))

Приложения:

baxa2001: Это правильно
lebedevau717: спс
freedelahoya1151: В начале что за буква
zadorozhniydaniil200: a)Г=Н/h=f/d b)h=f/d/h=78/65/1,5=1,2/1,5=0,8
Вас заинтересует