• Предмет: Геометрия
  • Автор: temirsd2
  • Вопрос задан 3 года назад

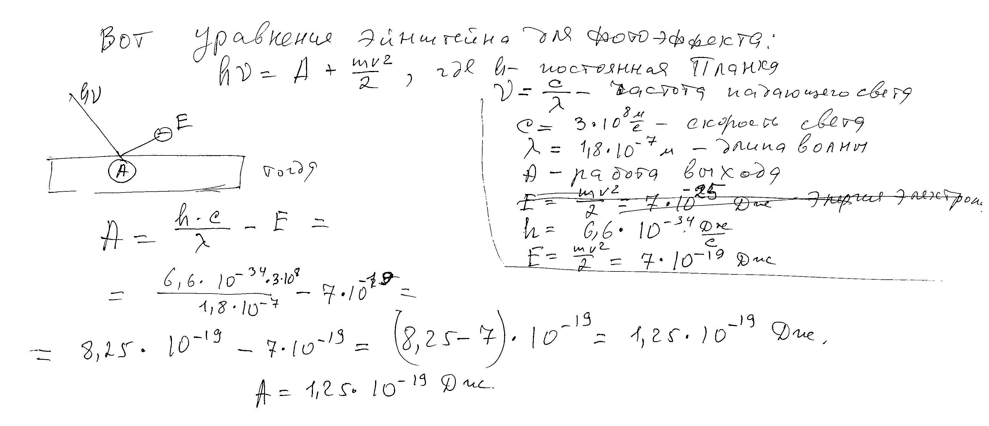
Какова работа выхода фотоэлектрона, если на пластину падает свет с длиной волны 180нм. Максимальное
значение кинетической энергии равно 7-10-22кДж​

Ответы

Ответ дал: ужнеужели
9

Ответ:

Объяснение:

Вообще-то это физика. Решение во вложении

Приложения:

Дархан90: а как получилось 8,25?
dofigaymnbiu: место 8,25 там получится 11,04
ужнеужели: Точно, я ошибся в расчетах там 11
Вас заинтересует