• Предмет: Геометрия
  • Автор: narikya876
  • Вопрос задан 3 года назад

очень срочно до сдачи 20 минут
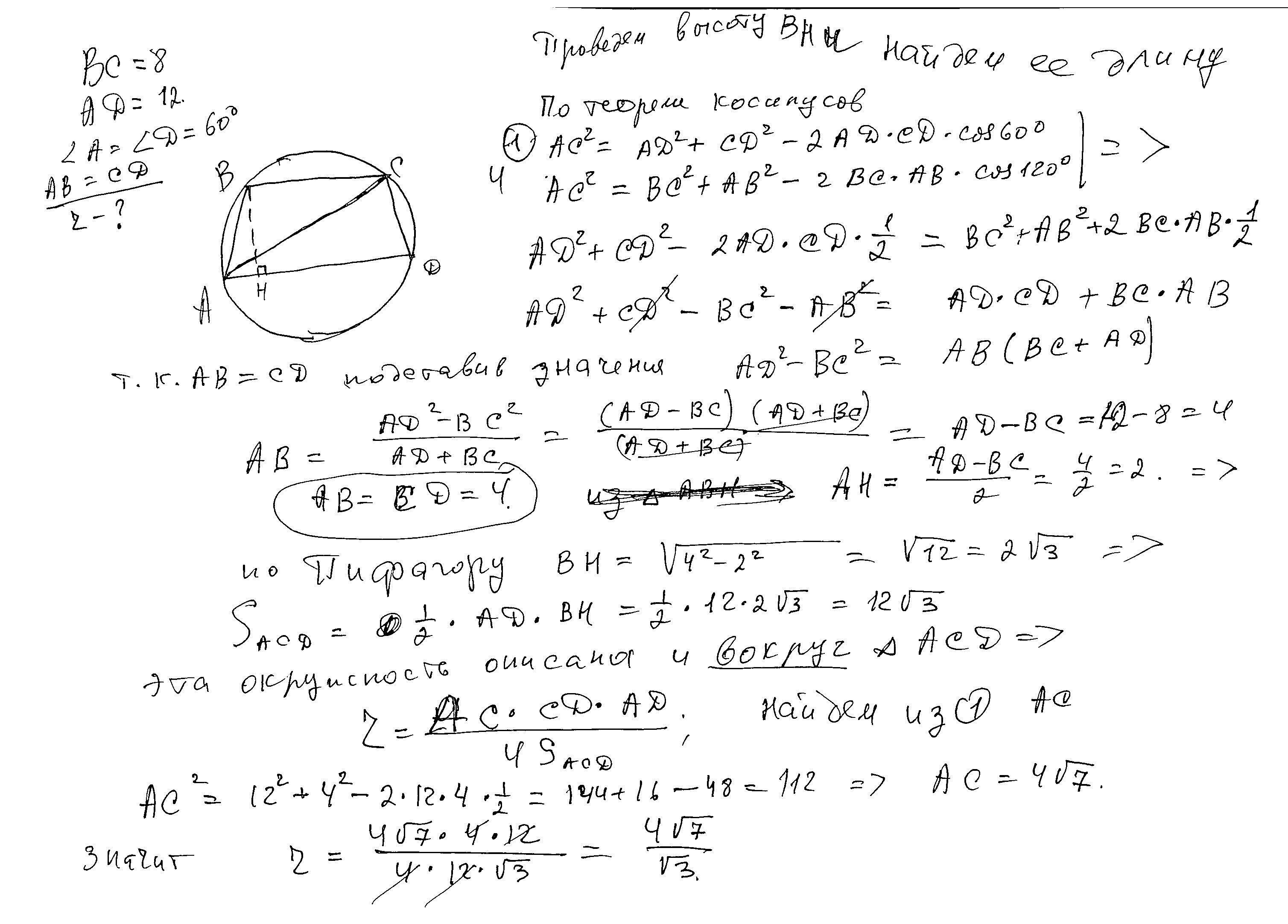
вокруг трапеции авсд с основаниями 8 и 12 описана окружность, найдите радиус этой окружности если угол а равен 60 градусов
трапеция - равнобоковая

Ответы

Ответ дал: ужнеужели
0

Ответ:

Объяснение:

Во вложенном файле

Приложения:
Вас заинтересует