• Предмет: Алгебра
  • Автор: darvin2354
  • Вопрос задан 3 года назад

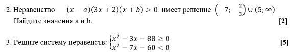
Неравенство (x-a)(3x+2)(x+b)>0 имеет решение (-7;-2/3) U (5;&)
(Сделайте хотя бы одно из двух пожалуйста )

Приложения:

Ответы

Ответ дал: NNNLLL54
3

Ответ:

(x-a)(3x+2)(x+b)>0\\\\x\in (-7;-\dfrac{2}{3}\ )\cup (\ 5\ ;+\infty \, )\ \ \Rightarrow \ \ ---(-7)+++(-\frac{2}{3})---(5)+++\ \ \Rightarrow \\\\(x+7)(3x+2)(x-5)>0\\\\a)\ \ x+7=x-a\ \ ,\ \ \ 7=-a\ \ ,\ \ a=-7\\\\{}\ \ \ \ x-5=x+b\ \ ,\ \ -5=b\ \ ,\ \ b=-5\\\\b)\ \ x+7=x+b\ \ ,\ \ b=7\\\\x-5=x-a\ \ ,\ \ -5=-a\ \ ,\ \ a=5\\\\Otvet:\ \ a)\ a=-7\ ,\ b=-5\ \ \ \ ili\ \ \ \ b)\ a=5\ ,\ b=7\ .

3)\ \ \left\{\begin{array}{l}x^2-3x-88\geq 0\\x^2-7x-60<0\end{array}\right\ \ \left\{\begin{array}{l}(x+8)(x-11)\geq 0\\(x+5)(x-12)<0\end{array}\right\ \ \left\{\begin{array}{l}x\in (-\infty ;-8\ ]\cup [\ 11\ ;+\infty )\\x\in (-5;\ 12\ )\end{array}\right\\\\\\x\in [\ 11\ ;\ 12\ )


darvin2354: помоги пожалуйста сделать это умоляю https://znanija.com/task/44849021?answeringSource=feedPublic%2FhomePage%2F29
Вас заинтересует