Ответы
Ответ дал:
4
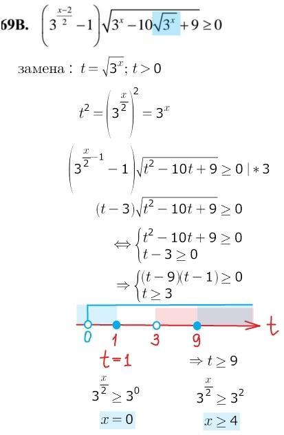
Ответ: {0} U [4; +oo)
-------------------------------
Приложения:

Lizka2847:
Можете пожалуйста помочь мне с задачей по геометрии....
Вас заинтересует
2 года назад
2 года назад
2 года назад
8 лет назад
9 лет назад
9 лет назад