• Предмет: Алгебра
  • Автор: darvin2354
  • Вопрос задан 3 года назад

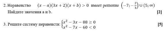
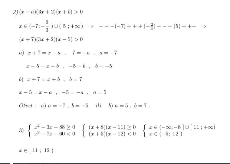
неравенство (x-a)(3x+2)(x+b)>0 имеет решение (-7;-2/3) U (5;&)

Приложения:

Ответы

Ответ дал: NNNLLL54
2

Ответ......................................

Приложения:

victorkv210: здравствуйте, а как правильно начертить то что написано во второй строчке решения?
NNNLLL54: во 2 строчке записано часть условия и проставлены знаки функции на промежутках, которые взяты из указанного решения... надо так и чертить ( можно знаки писать по одному в каждом промежутке, а не по три)
Вас заинтересует