• Предмет: Математика
  • Автор: chuevaa2004
  • Вопрос задан 3 года назад

Решить определённые интегралы

Приложения:

Ответы

Ответ дал: Miroslava227
1

Ответ:

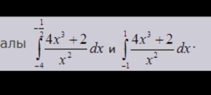
1.

\int\limits^{  -  \frac{1}{2} } _ { - 4} \frac{4 {x}^{3} + 2 }{ {x}^{2} }dx  = \int\limits^{  -  \frac{1}{2}  } _ { - 4}( \frac{4 {x}^{3} }{ {x}^{2} } +  \frac{2}{ {x}^{2} } ) dx =  \\  = \int\limits^{  -  \frac{1}{2} } _ { - 4}(4x + 2 {x}^{ - 2}) dx = ( \frac{4 {x}^{2} }{2}  +  \frac{2 {x}^{ - 1} }{( - 1)} ) | ^{  -  \frac{1}{2}  } _ { - 4}  =  \\  = (2 {x}^{2} -  \frac{2}{x}  )| ^{  -  \frac{1}{2}  } _ { - 4} =  \\  = 2 \times  \frac{1}{4}  + 4 - (2 \times 16 +  \frac{1}{2} ) =  \frac{1}{2}  + 4 - 32 -  \frac{1}{2}  =  - 28

2.

\int\limits^{ 1 } _ { - 1} \frac{4 {x}^{3}  + 2}{ {x}^{2} } dx = (2 {x}^{2}  -  \frac{2}{x} ) | ^{ 1 } _ { - 1} =  \\  = 2 - 2 - (2 + 2) =  - 4

Вас заинтересует