Ответы
Ответ дал:
0
Ответ:
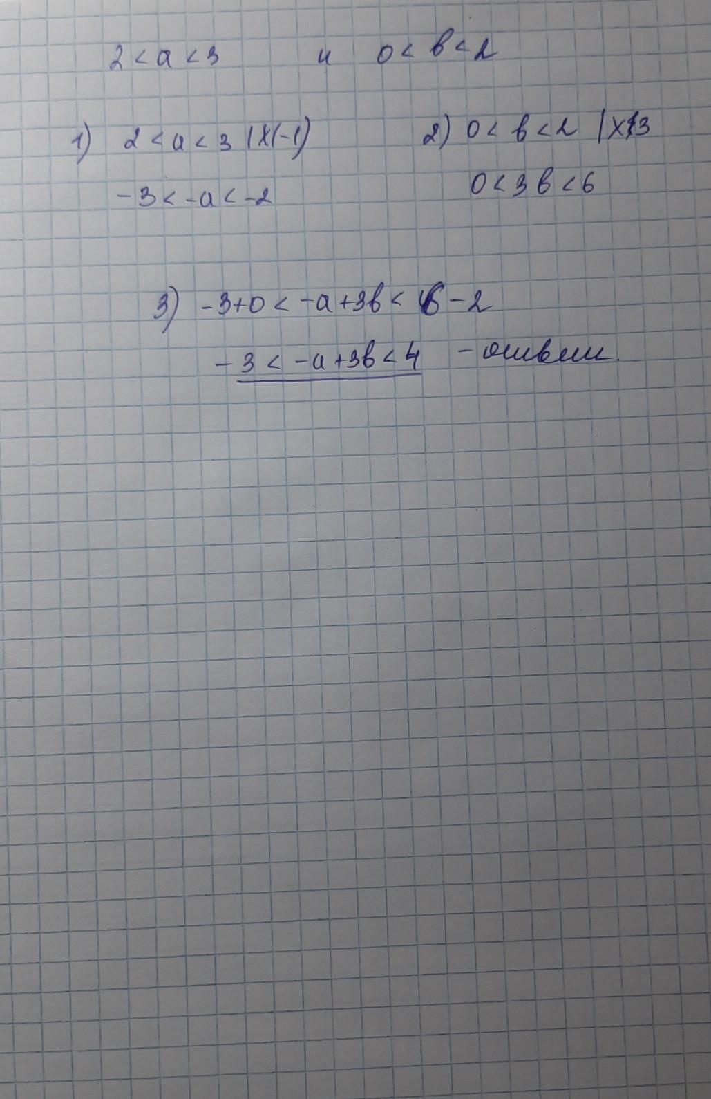
-3<-a+3b<4
Пошаговое объяснение:
Нужно домножить 2 неравенство с "а", на -1(Не забудьте поменять после умножения числа местами в данном случае!), потом домножить неравенство с "b",а потом их сложить, и Perfect! у вас есть ответ
Приложения:

AnastasiaRomanova55:
спасибо большущие
Вас заинтересует
2 года назад
2 года назад
8 лет назад
8 лет назад
9 лет назад