• Предмет: Алгебра
  • Автор: Paradoxgame
  • Вопрос задан 3 года назад

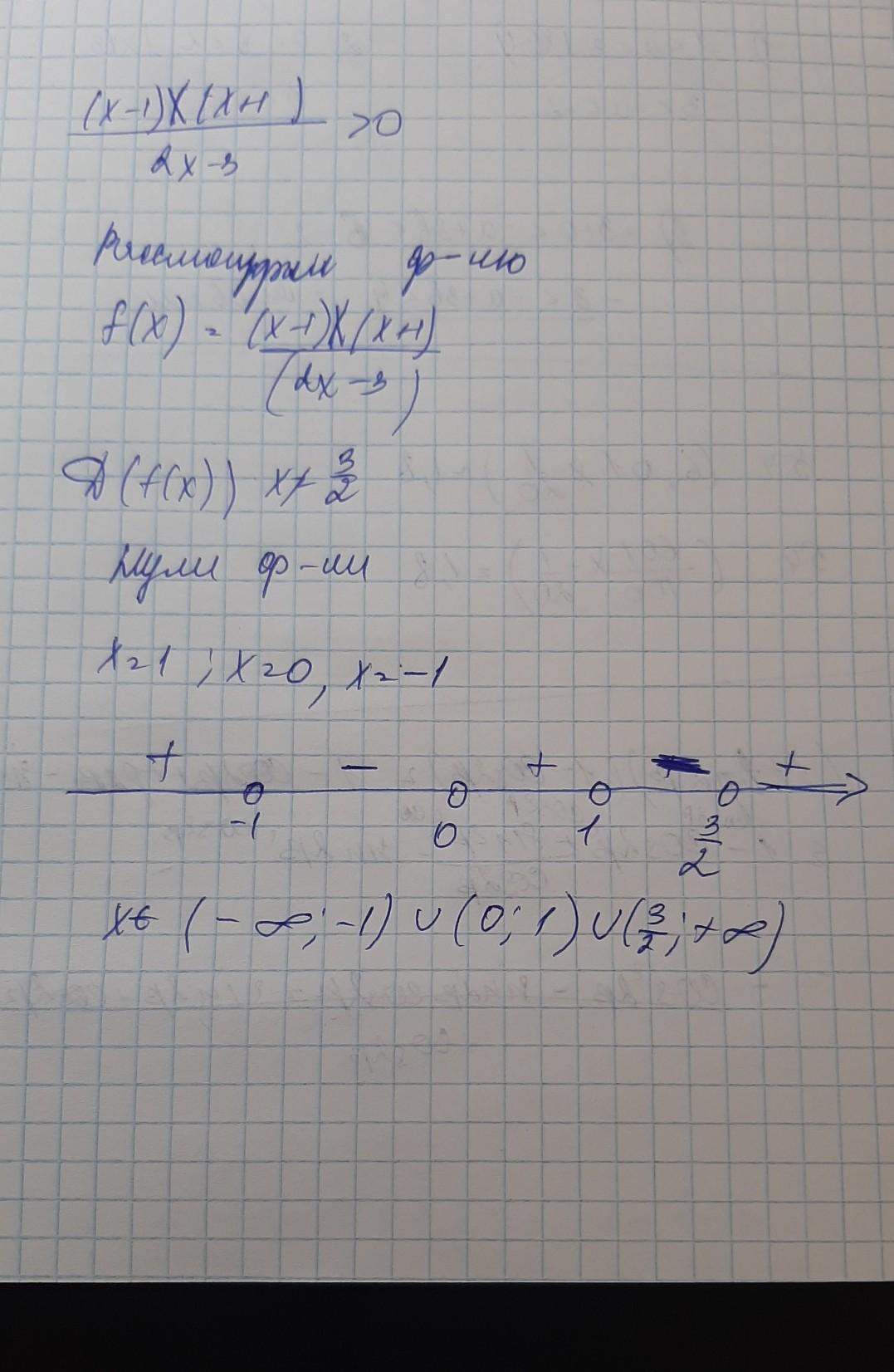
Решите неравенство (x-1)x(x+1)/(2x-3)>0

Ответы

Ответ дал: kulyabinainga
4

Ответ:

(-бесконечность;-1)U(0;1)U(1,5;+бесконечность)

Приложения:

KaktusVTapkax: Хочу поинтересоваться, это верно?
kulyabinainga: Да, это верно
KaktusVTapkax: Благодарю
Вас заинтересует