• Предмет: Геометрия
  • Автор: limo17
  • Вопрос задан 3 года назад

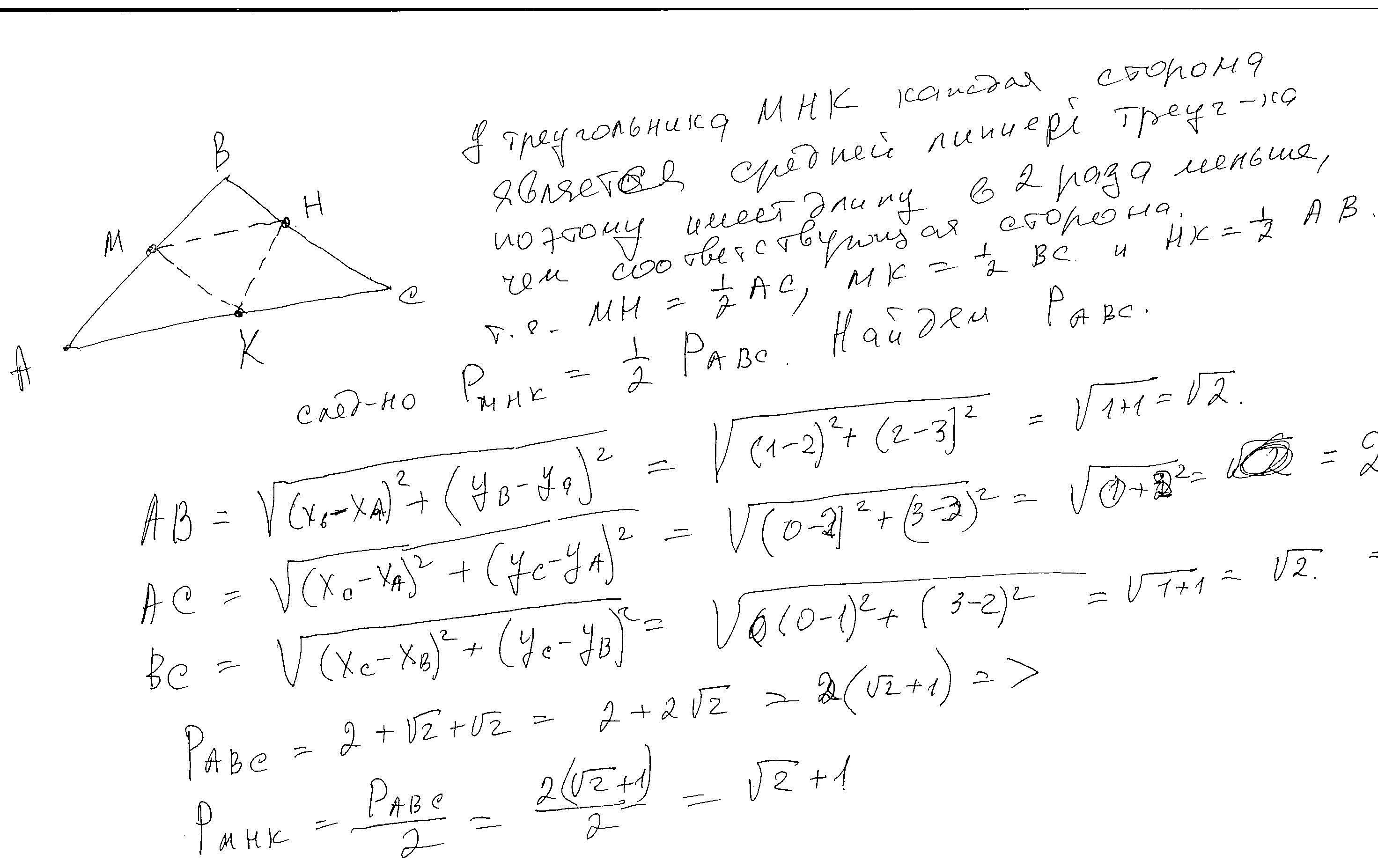
Найдите периметр треугольника вершинами которого служат середины
сторон треугольника АВС, если А (2;3), В (1;2), С (0;3).


kanmmu: 1+√2
limo17: можно поподробнее с решением
kanmmu: Находите длины данного треугольника, суммируете их, делите пополам.

Ответы

Ответ дал: ужнеужели
6

Ответ: \sqrt{2} +1

Объяснение:

Во вложении

Приложения:

ernatzhax07: сторона является средней чем?
ужнеужели: Средней линией треугольника.
Вас заинтересует