• Предмет: Алгебра
  • Автор: sabina03199
  • Вопрос задан 3 года назад

решите систему неравенств ​

Приложения:

Ответы

Ответ дал: SE04
1

Ответ:

Нет корней

Объяснение:

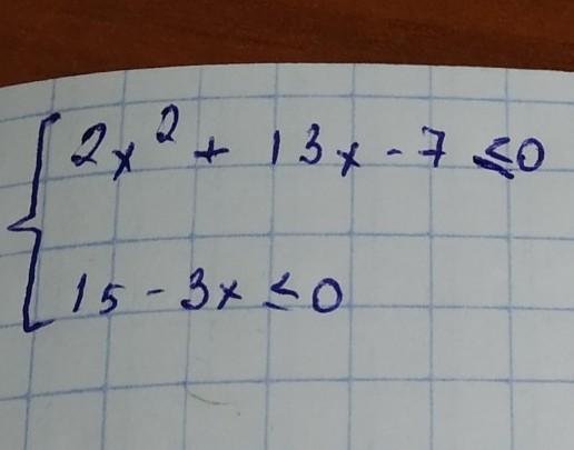
\left \{ {{2x^{2}+13x-7 \leq0 } \atop {15-3x\leq 0}} \right.

Решаем сначала каждое неравенство в отдельности.

Первая часть

2x^{2}+13x-7\leq 0\\y=2x^{2}+13x-7\\y=0\\2x^{2}+13x-7=0|/2\\x^{2}+6.5x-3.5=0

По обратной теореме Виета, имеем:

x₁+x₂=-6.5

x₁*x₂=-3.5

x₁=-7; x₂=0.5

Так как коэффициент a положительный, то ветви будут направлены вверх, из-за чего промежуток [-7; 0.5] будет меньше или равен нулю.

Вторая часть

15-3x\leq 0\\3x\geq 15|/3\\x\geq 5

Ответ в этой части - [5; +∞)

Теперь ответы сопоставляем в систему (редактор тут не юзнешь из-за знака принадлежности, поэтому представь, что это система).

x ∈ [-7; 0.5]

x ∈ [5; +∞)

Так как здесь нет пересечений, то, собственно, и нет решений.


sabina03199: спасибо огромное
sabina03199: можешь пожалуйста ответить на другой мой вопрос , если что могу больше баллов поставить
Вас заинтересует