• Предмет: Биология
  • Автор: Аноним
  • Вопрос задан 3 года назад

сделайте пж даю 100 балов

Приложения:

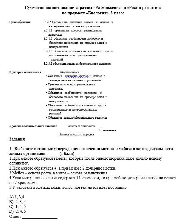
Ответы

Ответ дал: lizachornaya48
0

Ответ:

Правильные 1, 4,5

вариант с

Объяснение:

1) мейоз основа размножения.

4)n= 14, n= 7,

5) митоз нужен для регенерации и роста

Вас заинтересует