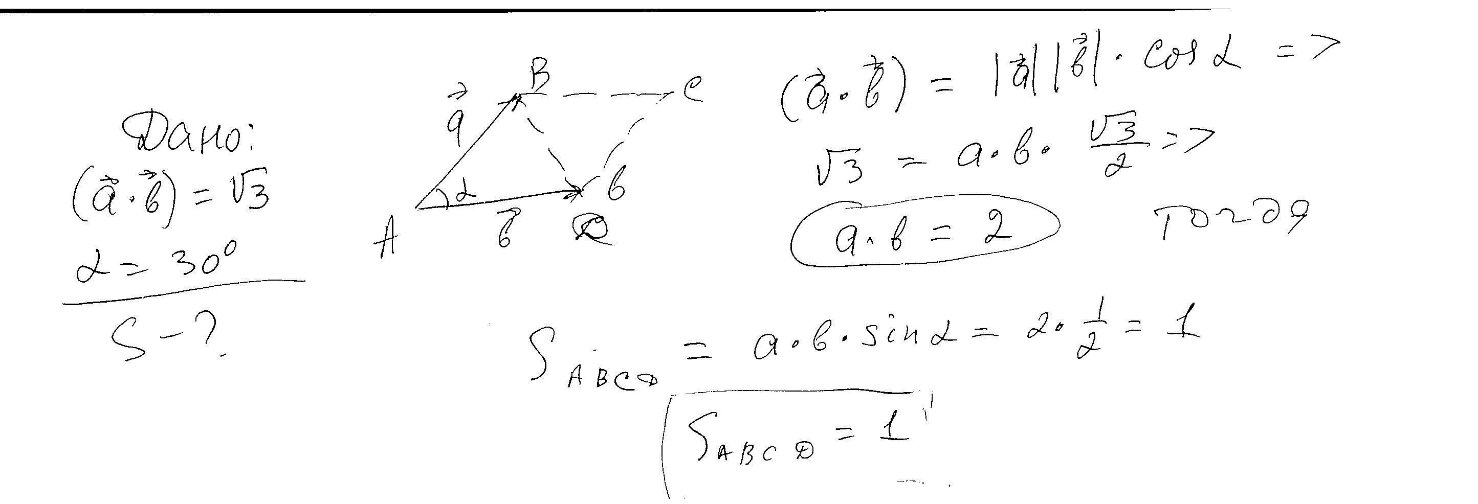
3. Если угол между векторами a и b равен 30 градусам, а скалярное произведение a * b =√ 3 , то какова площадь параллелограмма, построенного этими векторами:
Ответы
Ответ дал:
0
Ответ: S=1
Объяснение:
Приложения:

Вас заинтересует
2 года назад
2 года назад
2 года назад
2 года назад
8 лет назад
8 лет назад