Помогите )))))))
1.Определите знак числа: 
3.Найдите область определения функции у =
3.Найдите х, если 
4.Верн ли равенство
, где а>0, а≠1.
Ответы
Ответ дал:
0
Решение:
Смотри вложение:....
Ответ на задание найти область определения
x^2-4>0 x^2>4 x<-2 U x>2
log2 (x^2-4)<>0 x^2-4<>1 x^2<>5
x<>+-sqrt(5)
(-~;-sqrt(5)) U (-sqrt(5);-2) U (2;sqrt(5)) U(sqrt(5);+~)
Смотри вложение:....
Ответ на задание найти область определения
x^2-4>0 x^2>4 x<-2 U x>2
log2 (x^2-4)<>0 x^2-4<>1 x^2<>5
x<>+-sqrt(5)
(-~;-sqrt(5)) U (-sqrt(5);-2) U (2;sqrt(5)) U(sqrt(5);+~)
Приложения:

Ответ дал:
0
4 докажите пожалуйста , что оно верно
Ответ дал:
0
loga(x^k)=loga (x*x*....*x) (k- раз) = loga x+loga x+...+logax (k раз) = kloga x
Ответ дал:
0
спасибо большое :) но сразу я не смогу отметить ваше решение как самое лучшее, нужно чтобы прошло немного времени)
Ответ дал:
0
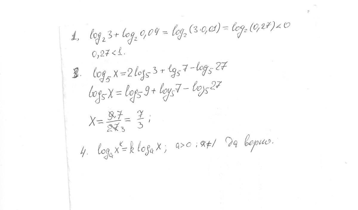
1)log(2)3*0,09=log(2)2,27<0, так как начиная с log(2)2≥0
2)ОДЗ
1)log(2)(x²-4)≠0
x²-4≠1
x²-5≠0
(x-√5)(x+√5)≠0⇒x≠ -√5 x≠√5
2)x²-4>0
(x-2)(x+2)>0
+ _ +
_____________________________
-2 2
x∈(-≈;-2)U(2;≈)
Ответ: (-≈;-√5)U(-√5;-2)U(2;√5)U(√5;≈)
3)log(5)x=log(5)(3²*√49/27)=log(5)(9*7/27)=log(5)(7/3)⇒x=7/3
4)в,А.Гусев, А.Г.Мордкович"Математика"(Справочный материал)стр.118
Если х>0,то логарифм степени равен произведению степени на логарифм основания степени.
2)ОДЗ
1)log(2)(x²-4)≠0
x²-4≠1
x²-5≠0
(x-√5)(x+√5)≠0⇒x≠ -√5 x≠√5
2)x²-4>0
(x-2)(x+2)>0
+ _ +
_____________________________
-2 2
x∈(-≈;-2)U(2;≈)
Ответ: (-≈;-√5)U(-√5;-2)U(2;√5)U(√5;≈)
3)log(5)x=log(5)(3²*√49/27)=log(5)(9*7/27)=log(5)(7/3)⇒x=7/3
4)в,А.Гусев, А.Г.Мордкович"Математика"(Справочный материал)стр.118
Если х>0,то логарифм степени равен произведению степени на логарифм основания степени.
Приложения:

Вас заинтересует
2 года назад
2 года назад
8 лет назад
10 лет назад
10 лет назад