• Предмет: Алгебра
  • Автор: aijanmamajunusova09
  • Вопрос задан 3 года назад

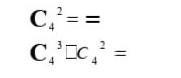
помогите пожалуйста СРОЧНО! дам 20 балов​

Приложения:

Ответы

Ответ дал: eeeeee3125
0

Ответ:63816+

9Объяснение:

Вас заинтересует