• Предмет: Алгебра
  • Автор: so526462
  • Вопрос задан 3 года назад

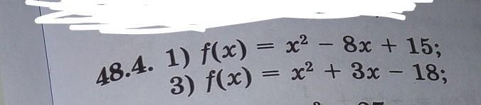
Помогите пожалуйста с алгеброй!!!!!!!!!!! Очень надо!!!!!! Номер 48.4 (1)
Найдите точки экстремума функции y=f(x)

Приложения:

Ответы

Ответ дал: Kierra
3

~~~~~~~~~~~~~~~~~~~~

Приложения:
Вас заинтересует