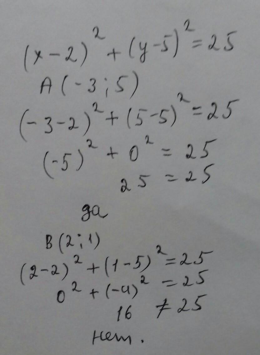
принадлежат ли точки А( -3;5),В(2;1) заданной окружности

решите пожалуйста
orjabinina:
А принадлежит , В -нет
Ответы
Ответ дал:
3
Ответ:
.............................
Приложения:
Вас заинтересует
2 года назад
2 года назад
3 года назад
3 года назад
8 лет назад
8 лет назад
10 лет назад
10 лет назад