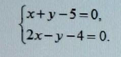
Ришите систему уравнений графическим способом.
ПОМОГИТЕ ПОЖАЛУЙСТА!!!
Кто будет баловаться бан!
Приложения:

Ответы
Ответ дал:
1
Ответ:
..............................
Приложения:

irinapenner83:
СПОСИБО БОЛЬШОЕ!!!!
Вас заинтересует
2 года назад
2 года назад
2 года назад
8 лет назад
8 лет назад
9 лет назад
9 лет назад