• Предмет: Алгебра
  • Автор: valerason050
  • Вопрос задан 3 года назад

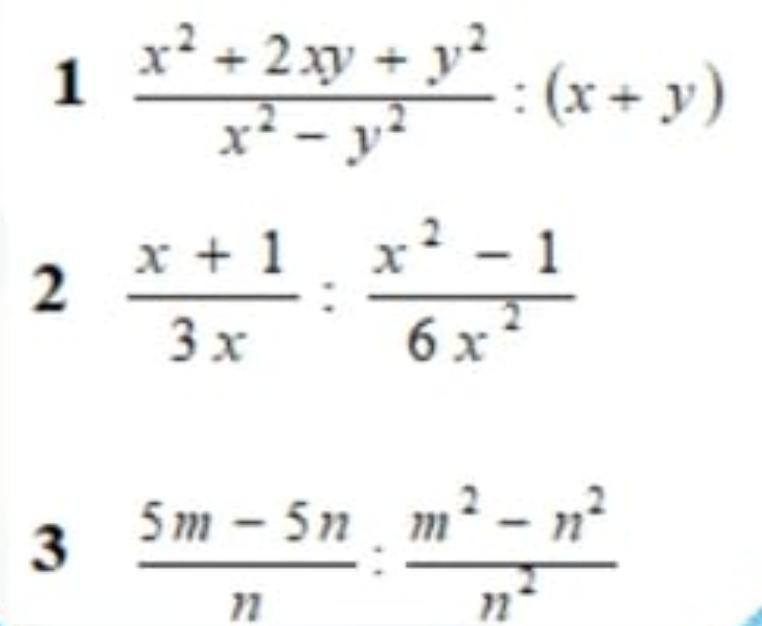
ДЕЛЕНИЕ 70 БАЛЛОВ ПОМОГИТЕ ПОЖАЛУЙСТА!!!!!

Приложения:

Ответы

Ответ дал: doncenkomarina6
0

Объяснение:

2)

 \frac{2x}{x - 1}

Вас заинтересует