• Предмет: Алгебра
  • Автор: xpentebe
  • Вопрос задан 3 года назад

Помогите пожалуйста. Дам 70 баллов​

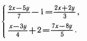
Приложения:

Ответы

Ответ дал: NNNLLL54
0

Ответ:

\left\{\begin{array}{l}\dfrac{2x-5y}{7}-1=\dfrac{2x+2y}{3}\ |\cdot 21\\\dfrac{x-3y}{4}+2=\dfrac{7x-8y}{5}\ |\cdot 20\end{array}\right\ \ \left\{\begin{array}{l}3(2x-5y)-21=7(2x+2y)\\5(x-3y)+40=4(7x-8y)\end{array}\right\\\\\\\left\{\begin{array}{l}6x-15y-21=14x+14y\\5x-15y+40=28x-32y\end{array}\right\ \ \left\{\begin{array}{l}-8x-29y=21\ |\cdot (-23)\\-23x+17y=-40\ |\cdot 8\end{array}\right\ \ \oplus

\left\{\begin{array}{l}\ 8x+29y=-21\\803y=-803\end{array}\right\ \ \left\{\begin{array}{l}8x=-21-29\cdot (-1)\\y=-1\end{array}\right\ \ \left\{\begin{array}{l}8x=8\\y=-1\end{array}\right\ \ \left\{\begin{array}{l}x=1\\y=-1\end{array}\right\\\\\\Otvet:\ \ (\ 1;-1\, )\ .

Вас заинтересует