• Предмет: Алгебра
  • Автор: dpaskova601
  • Вопрос задан 3 года назад

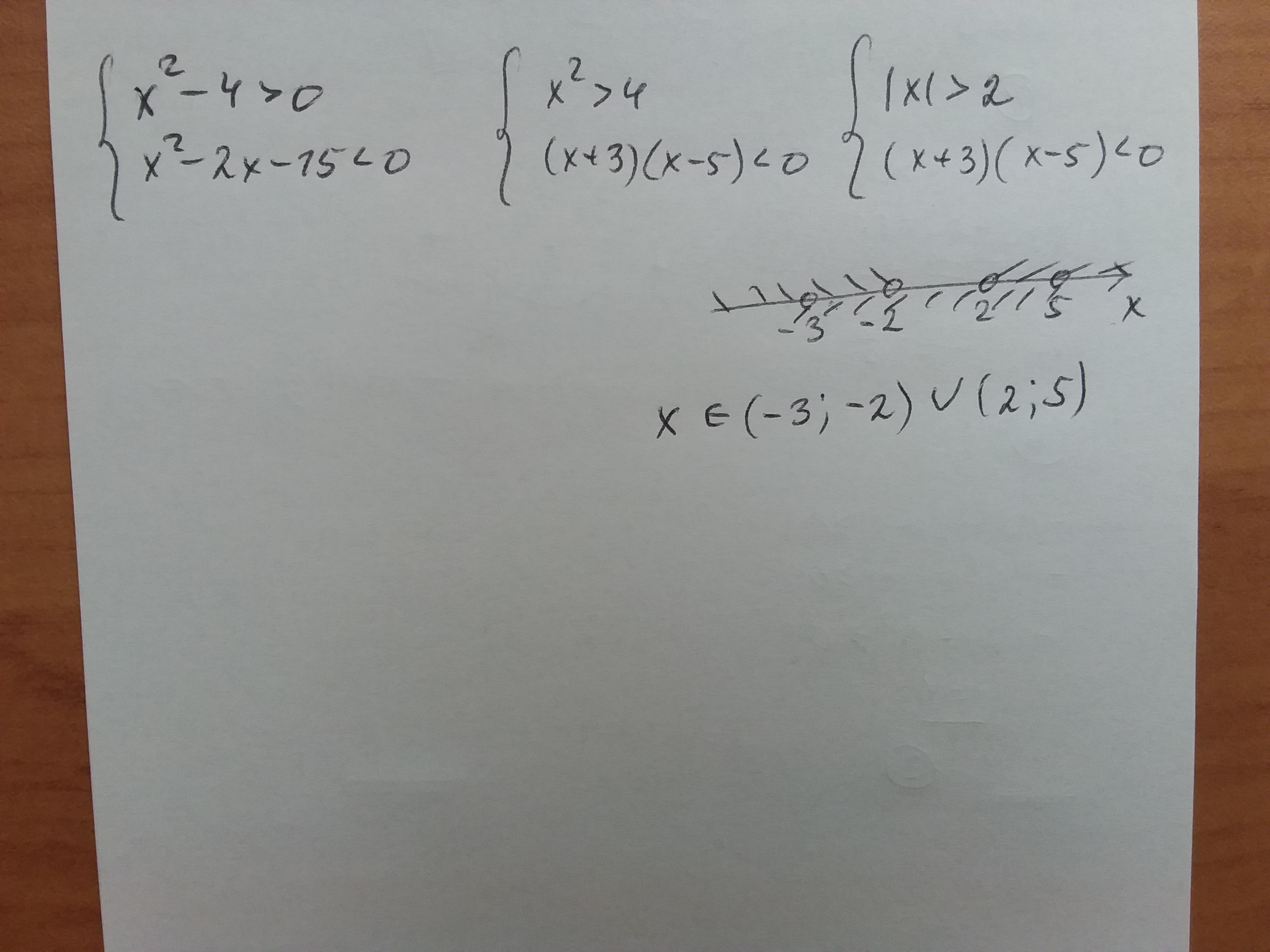
Решите систему неравенств:​

Приложения:

Ответы

Ответ дал: lidiasaraa3
0

----------------------------

Приложения:

dpaskova601: спасибо
heelb4r: Все правильно , только здесь должно бить x є (-3;-2)∪(-2;5) , поскольку тут нету нестрогих знаков, только строгие ( <, >)
Вас заинтересует