• Предмет: Алгебра
  • Автор: kartunova89
  • Вопрос задан 3 года назад

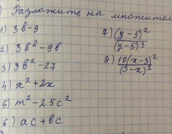
Разложить на множители,7класс даю 30 баллов СРОЧНО!!!​

Приложения:

Ответы

Ответ дал: 6929305
0

1. 3(в-3)

2. 3в(в-3)

3. 3(в-3)(в+3)

4. х(х+2)

5. (м-5с)(м+5с)

6. с(а+в)

7. 1/(у-5)

8. 10

Вас заинтересует