• Предмет: Математика
  • Автор: sdzogola
  • Вопрос задан 3 года назад

хелпп плизз даю 15 балов

Приложения:

Ответы

Ответ дал: Sanya2263
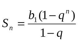
2

a₃=a₁*d²

18=2*d²

d²=9

d=3 или d=-3

1) При d=-3:

S₅ = a₁(1-d⁵)/(1-d) = 2(1-(-3)⁵)/(1-(-3)) = 122

2) При d=3:

S₅ = a₁(1-d⁵)/(1-d) = 2(1-3⁵)/(1-3) = 242

Ответ: 122 или 242.

Приложения:

Sanya2263: Обнови страницу, я поправил решение немного
Вас заинтересует