• Предмет: Математика
  • Автор: aleksgorin46
  • Вопрос задан 3 года назад

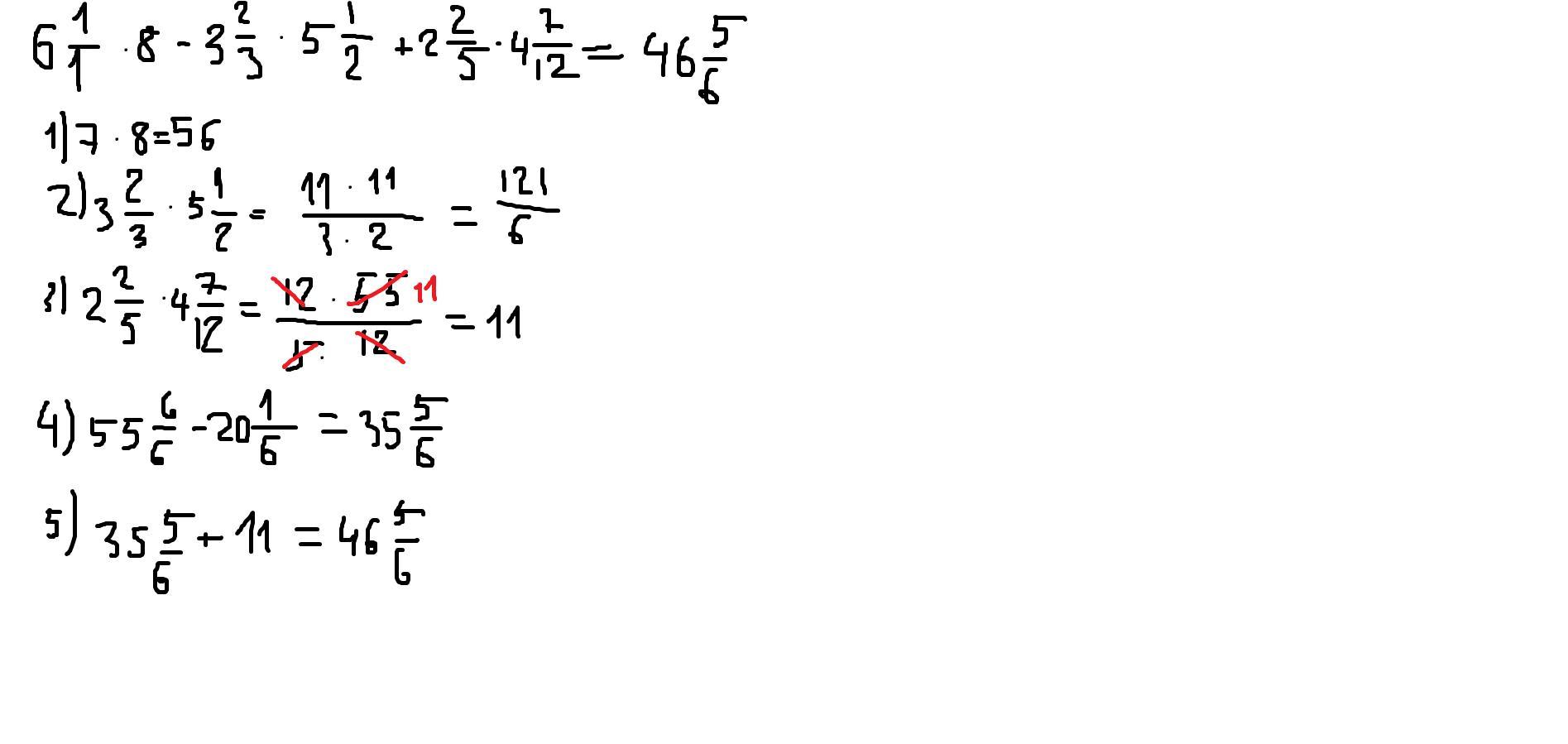
ДАМ 20 БАЛЛОВ РЕШИТЕ ПО ДЕЙСТВИЯМ ​

Приложения:

Ответы

Ответ дал: TutorOnline
1

Ответ: 46 5/6

Пошаговое объяснение: смотри на фото: ↓↓↓

Приложения:

aleksgorin46: Слушай, а где ты взял 55 6/6?
TutorOnline: 121/5 = 55 5/6
Вас заинтересует