• Предмет: Алгебра
  • Автор: lili0000000
  • Вопрос задан 3 года назад

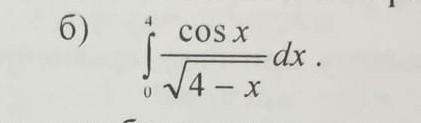
Исследовать на сходимость несобственный интеграл сверху интеграла (4), снизу интеграла (0), ∫cosx/корень из(4-x)​

Приложения:

Ответы

Ответ дал: bearcab
3

Ответ:

интеграл сходится

Объяснение:

Решение в приложении

Приложения:

Аноним: Здравствуйте вы не могли бы вы мне помочь по алгебре пожалуйстаСрочно помогите пожалуйста​
https://znanija.com/task/44616836?utm_source=android&utm_medium=share&utm_campaign=question
Вас заинтересует