• Предмет: Алгебра
  • Автор: muxaul20060303
  • Вопрос задан 3 года назад

Помогите
..................................

Приложения:

Ответы

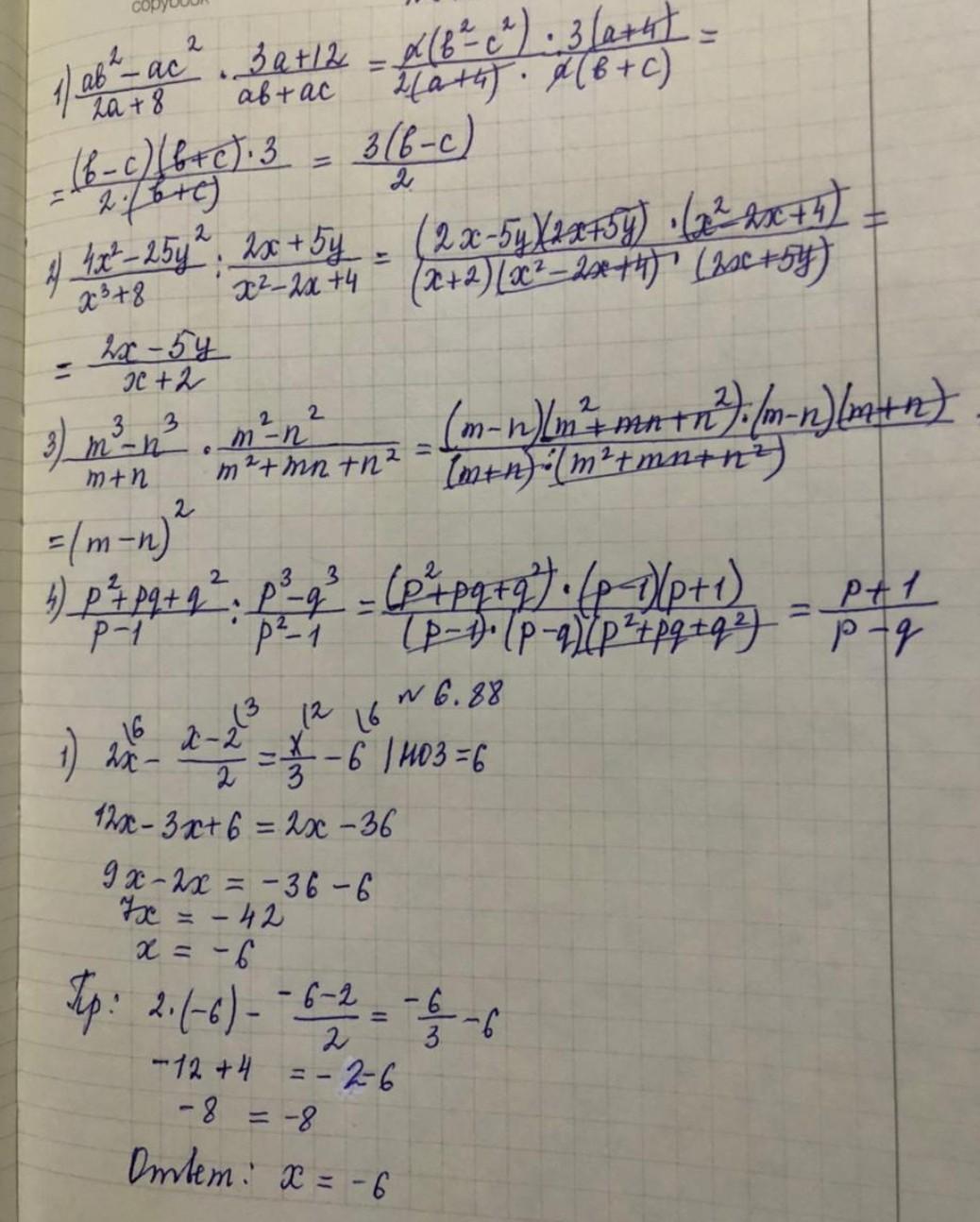
Ответ дал: andreeviki449
0

Ответ:

ответ на вото надеюсь помог, удачи тебе в учебе

Приложения:
Вас заинтересует