• Предмет: Математика
  • Автор: samperuniy1337
  • Вопрос задан 3 года назад

Помогите срочнооо , очень нужно ​

Приложения:

Ответы

Ответ дал: CrazyTapok227
1

Ответ:

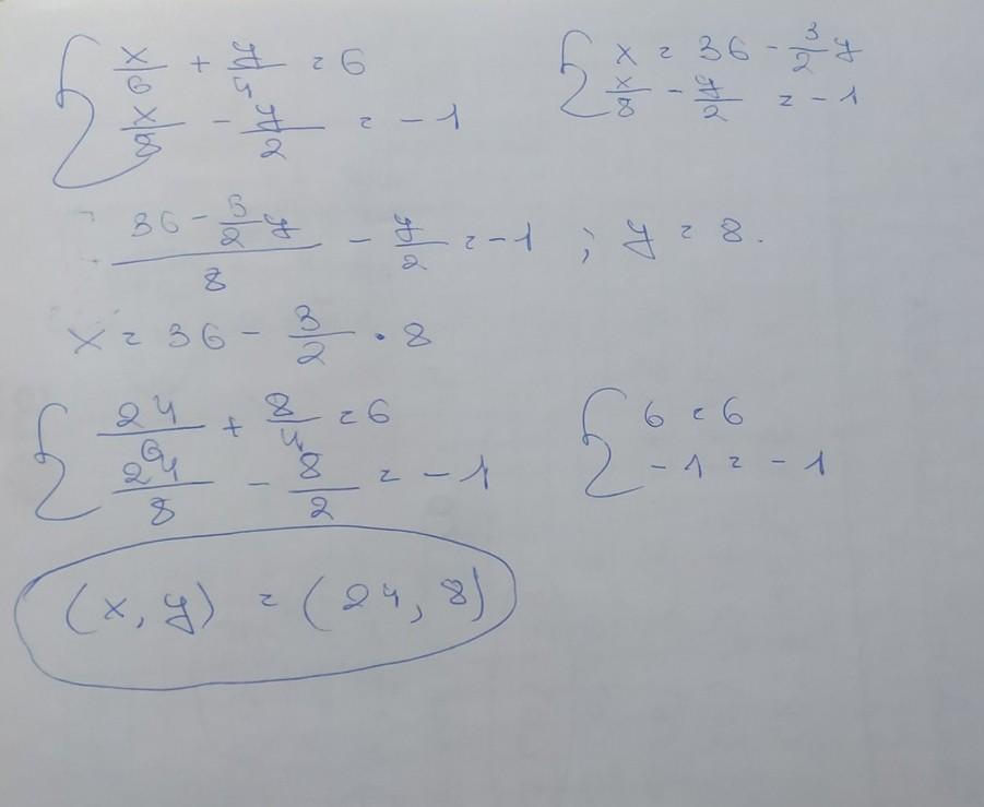
Решение на фотографии. Если помог отметь как лучший пожалуйста!)

Приложения:
Вас заинтересует