• Предмет: Алгебра
  • Автор: agnuyatoka
  • Вопрос задан 3 года назад

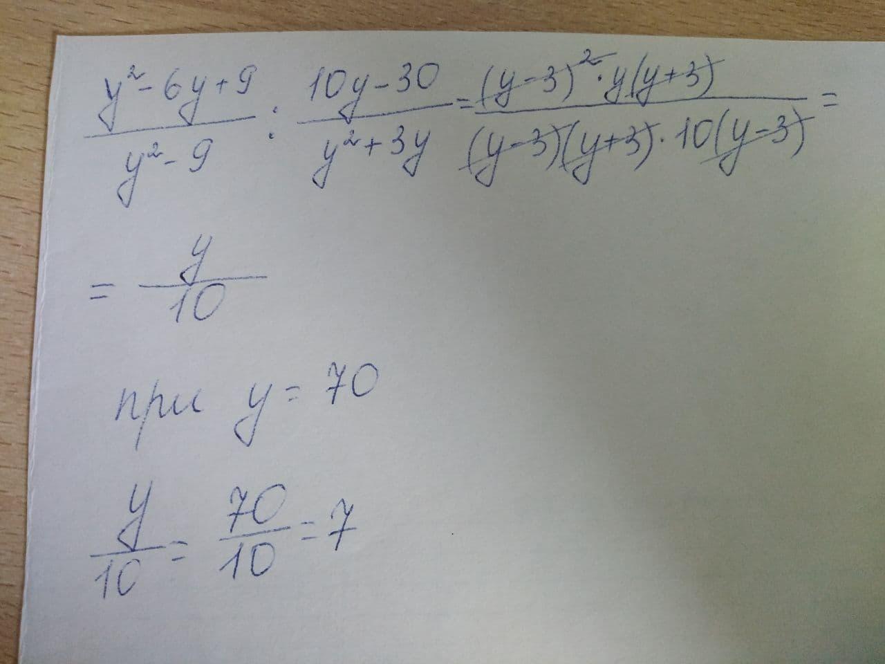
найдите значение выражения

Приложения:

Ответы

Ответ дал: Universalka
1

\frac{y^{2}-6y+9 }{y^{2}-9 } :\frac{10y-30}{y^{2}+3y }=\frac{(y-3)^{2}}{(y-3)(y+3)}*\frac{y(y+3)}{10(y-3)}=\boxed{\frac{y}{10}}\\\\y=70 \  \Rightarrow \ \frac{y}{10}=\frac{70}{10}=\boxed7

Ответ дал: imstydent
1

Решение в прикреплённом файле.

Приложения:
Вас заинтересует