• Предмет: Геометрия
  • Автор: tytyshka01
  • Вопрос задан 3 года назад

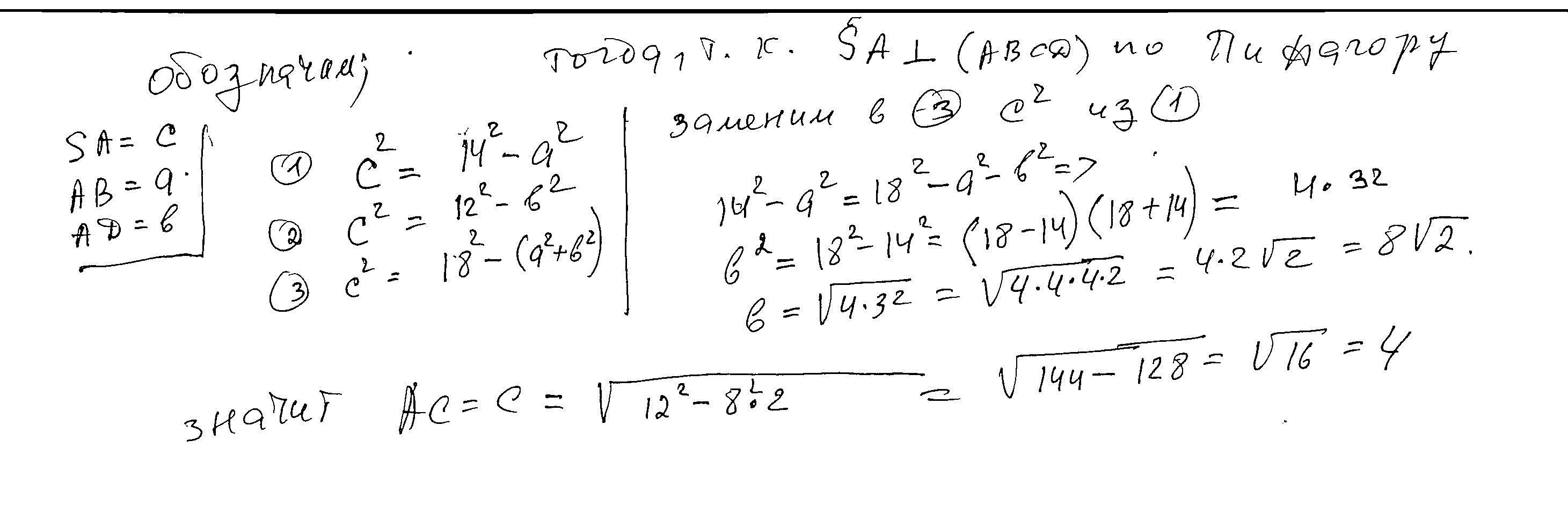
Всё есть на фото 383, 384
Извините за такой ракурс, приложение не даёт повернуть фото​

Приложения:

tytyshka01: Только 383
tytyshka01: 384 я уколе сам решил
tytyshka01: уже

Ответы

Ответ дал: ужнеужели
1

Ответ:

Объяснение:

Во вложенных файлах (в двух)

Приложения:
Вас заинтересует