• Предмет: Математика
  • Автор: akmatovadil0114
  • Вопрос задан 3 года назад

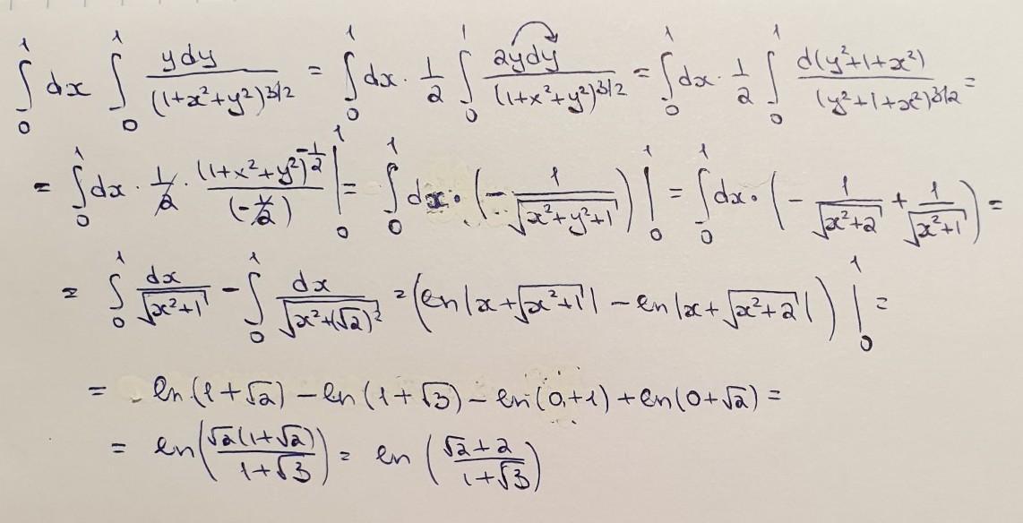
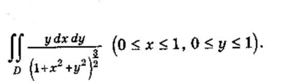
Помогите решить пожалуйста,ответ ln×(2+✓2)/(1+√3)

Приложения:

Аноним: это как понимать ln×(2+✓2)/(1+√3)?

Ответы

Ответ дал: Miroslava227
1

Ответ:

решение на фотографии.

Приложения:
Ответ дал: Idealniyrepetitor
0
Как то так получилось
Приложения:
Вас заинтересует