• Предмет: Алгебра
  • Автор: qwertyuioplkgd
  • Вопрос задан 3 года назад

нужна помощь!!!!!!!!!!!

Приложения:

NNNLLL54: слишком много примеров в одном вопросе

Ответы

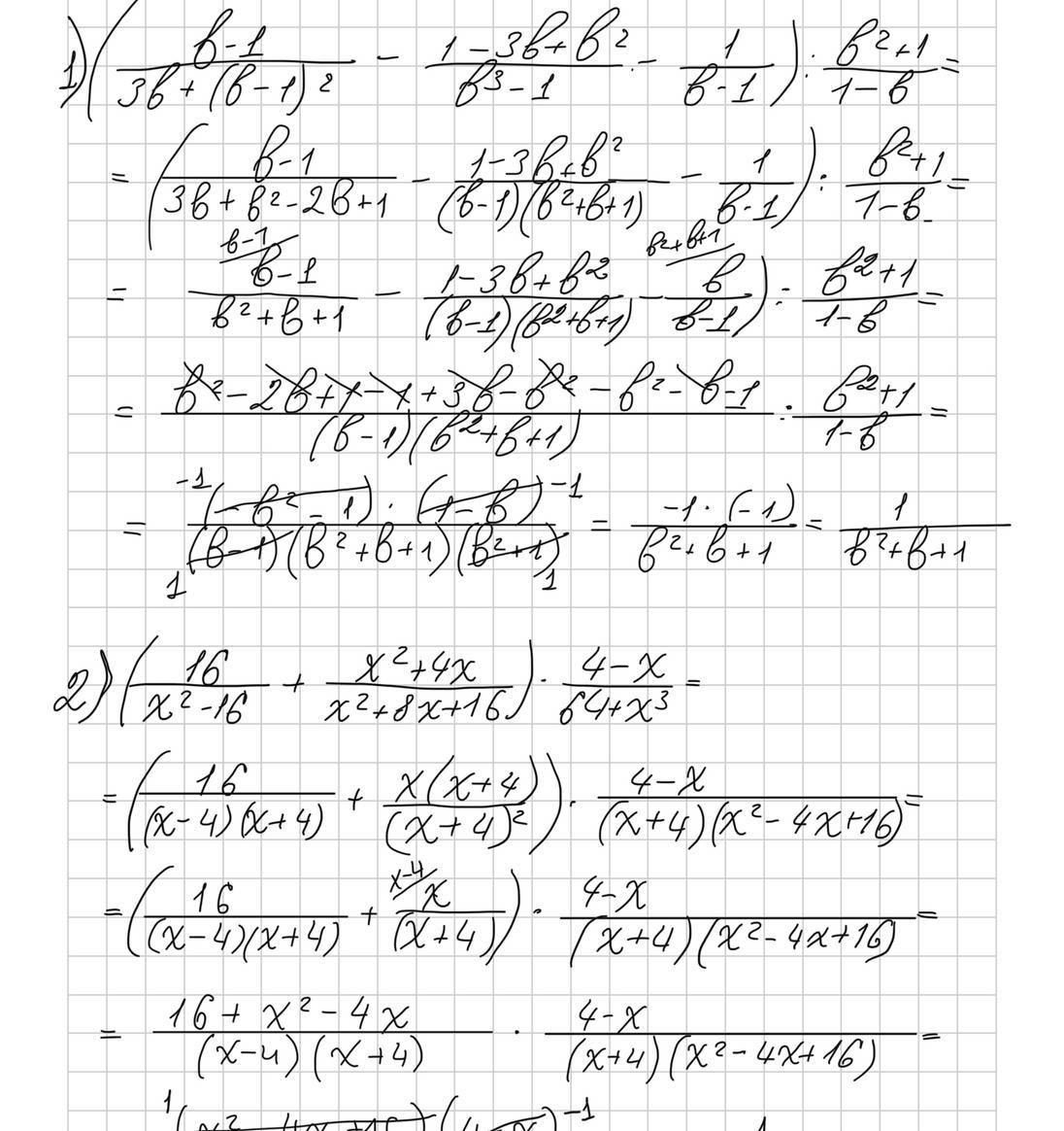
Ответ дал: luaneo1
1
Ниже прикрепил скриншот с расписанным решением. Советую тебе скачать Photomath, там все пошагово расписывается, может объяснить тебе решение.
Приложения:
Вас заинтересует