• Предмет: Математика
  • Автор: veselchik7
  • Вопрос задан 3 года назад

Математика срочно
Спасибо заранее))) ​

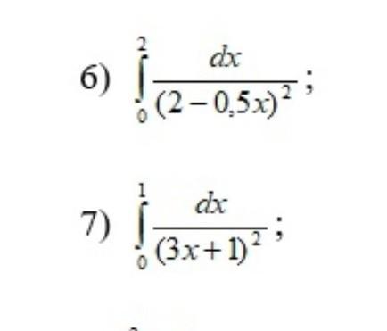
Приложения:

Ответы

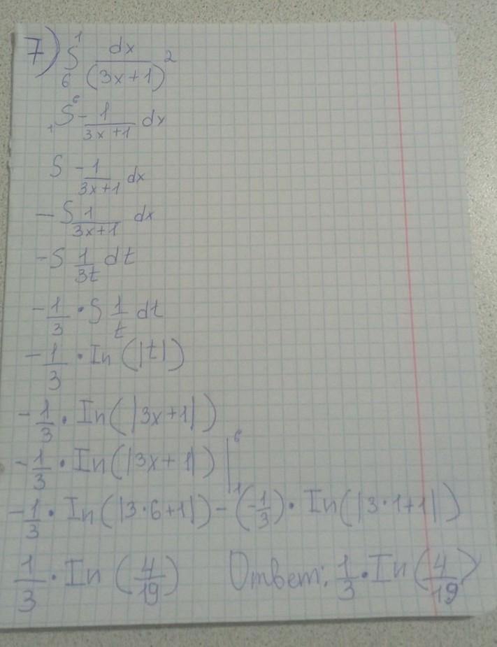
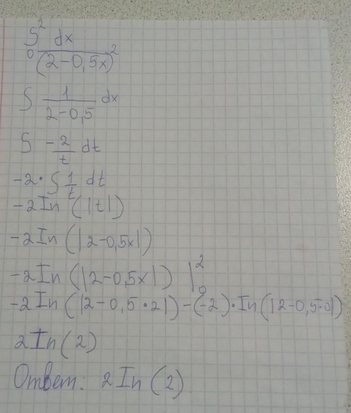
Ответ дал: uliankap5
1

Ответ:

это только 7 а 6 я ещё решаю, вот теперь и 6 решила

Приложения:
Вас заинтересует