• Предмет: Математика
  • Автор: sany18
  • Вопрос задан 3 года назад

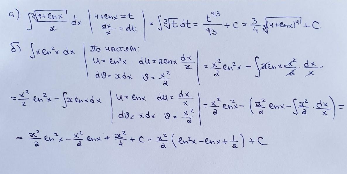
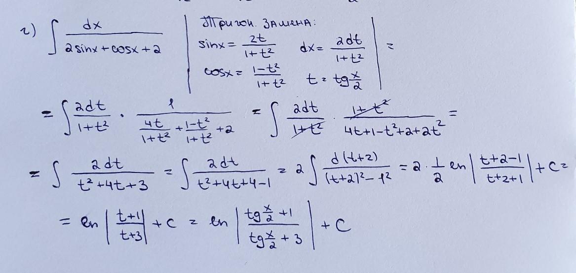
Найти неопределённые интегралы

Приложения:

Ответы

Ответ дал: Miroslava227
0

Ответ:

решение на фотографиях

Приложения:
Вас заинтересует