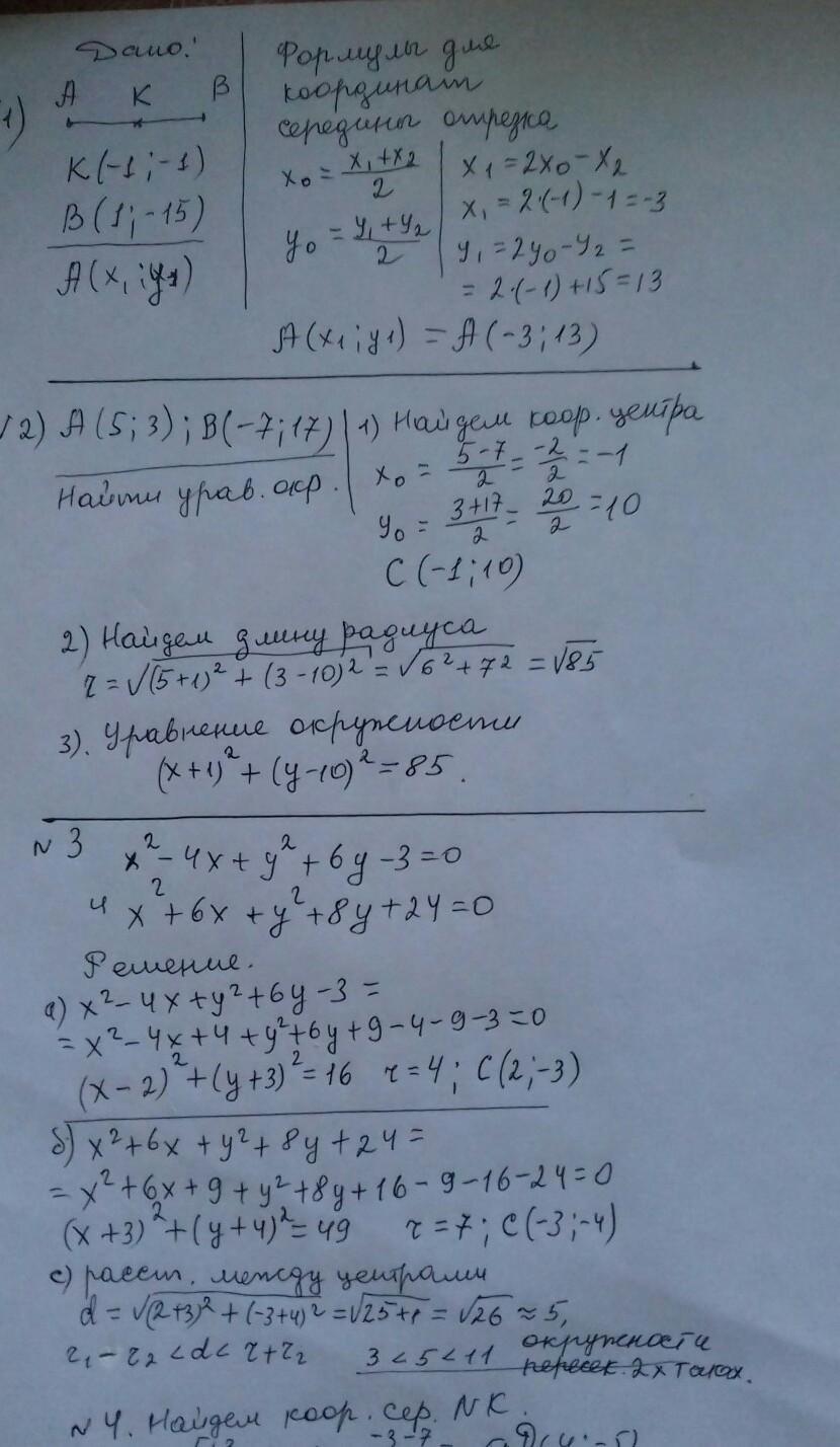
N°1 Точка K – середина отрезка AB. Найдите координаты точки A, если
K(-1;-11) и B(1;-15).
№2. Даны точки А(5;-3), B(-7;17). Найдите уравнение окружности,
диаметром которой является отрезок AB.
№3. Выясните, как расположены относительно друг друга окружность,
заданная уравнением:
x²-4x+y²+6y-3 =0
и окружность, заданная
уравнением:
x²+6x+y²+8y+24=0
№4. Точки M(2;-3), N(5;-3) и K(3;-7) являются вершинами треугольника.
Найдите длину медианы MD.
Пж помогите Даю 65 баллов!!!!
Ответы
Ответ дал:
4
Ответ..........................:
........................
Приложения:


godlyfaik:
спасибо но там 4го невидно
Вас заинтересует
2 года назад
2 года назад
8 лет назад
8 лет назад
9 лет назад