Ответы
Ответ дал:
1
Ответ:
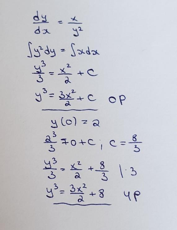
решение на фотографии.
Приложения:

Czaryok:
Здравствуйте, можете помочь? https://znanija.com/task/44489320
Вас заинтересует
2 года назад
2 года назад
2 года назад
2 года назад
8 лет назад
8 лет назад
9 лет назад
9 лет назад