• Предмет: Математика
  • Автор: dmalyseva43
  • Вопрос задан 3 года назад

Помогите пожалуйста, я не могу это решить.​

Приложения:

Ответы

Ответ дал: inabatmahambetova17
1

Пошаговое объяснение:

,,,,,,,,,,,,,,,,,,,,,,,,,,

..........................

Приложения:
Ответ дал: MatemaX9
1

Ответ:

х=-7,8; у=6,6

Пошаговое объяснение:

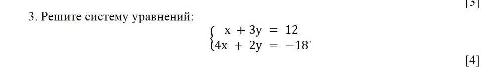
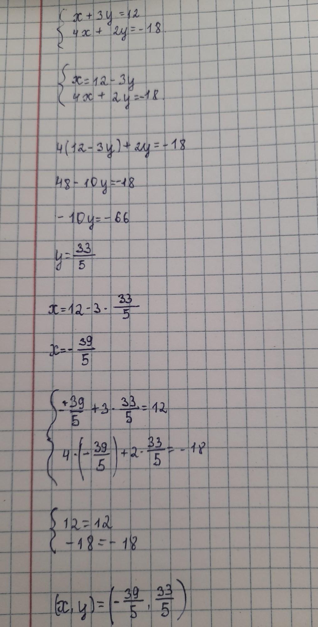
х+3у=12        *2                 2х+6у=24     сложим

4х+2у=-18     :(-2 )            -2х-у=+9

                                   6у-у=24+9        5у=33   у=6,6

подставим в первое х+3*6,6=12    х=12-19,8    х=-7,8

проверка:

-7,8+3*6,6=12        -7,8+19,8=-12

4*(-7,8)+2*6,6=-18         -31,2+13,2=-18  

Вас заинтересует