• Предмет: Математика
  • Автор: eliarisrailov
  • Вопрос задан 3 года назад

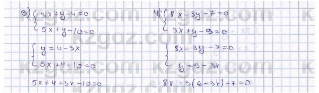
страница 195 номер 1425 номер3,4,5,6.помогите пжпж​

Приложения:

amirkhanasemay: Какой класс?
amirkhanasemay: 6?

Ответы

Ответ дал: amirkhanasemay
0

Ответ:

Вот 6 класс 1425

Пошаговое объяснение:

Удачи всем!

Приложения:
Вас заинтересует