• Предмет: Математика
  • Автор: dzhasurakhmetov
  • Вопрос задан 3 года назад

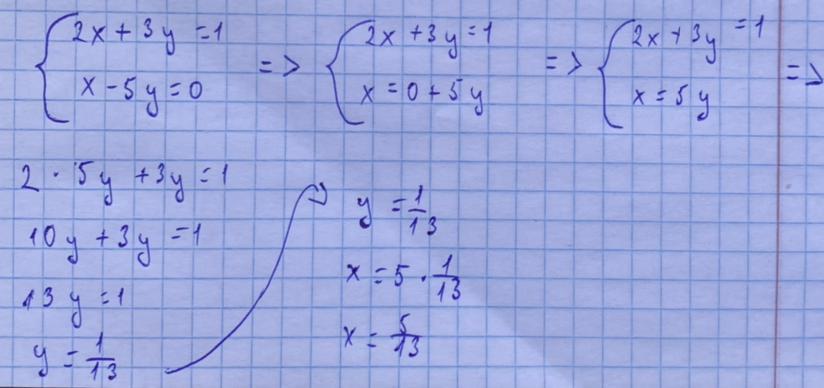
4. Решите систему уравнений
{2x+3y=1
{x-5 y=0​

Ответы

Ответ дал: Ayanurnur
3
Проверка: {2*5/13+3*1/13=1
{5/13-5*1/13=0
=>{1=1 {0=0
Приложения:

Ayanurnur: Хотела фотку проверки отправить но мне не разрешают два фото отправлять :/
Вас заинтересует