• Предмет: Алгебра
  • Автор: mabsik
  • Вопрос задан 3 года назад

Выполните действия: Прошу вас срочно

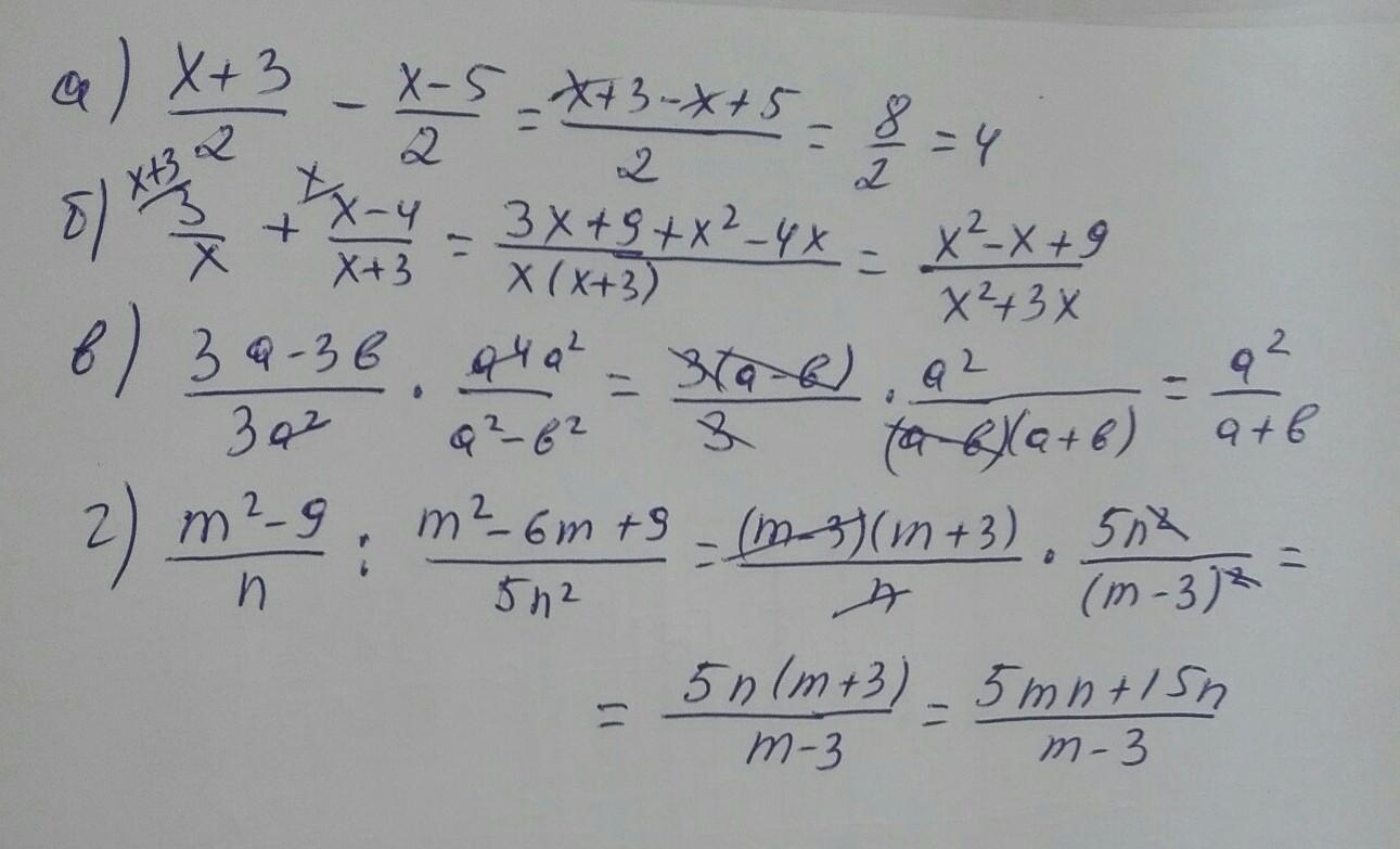
а) (x+3)/2-(x-5)/2

б) 3/x+(x-4)/(x+3)

в) (3a-3b)/(3a^2 )∙a^4/(a^2-b^2 )

г) (m^2-9)/n:(m^2-6m+9)/(5n^2 )

Приложения:

mabsik: прошу кто нибудь

Ответы

Ответ дал: Sserikbaev
0

Ответ:

а) (x+3)/2-(x-5)/2

б) 3/x+(x-4)/(x+3)

в) (3a-3b)/(3a^2 )∙a^4/(a^2-b^2 )

г) (m^2-9)/n:(m^2-6m+9)/(5n^2 )

Приложения:
Вас заинтересует