• Предмет: Алгебра
  • Автор: Димарик17
  • Вопрос задан 10 лет назад

Помогите пожалуйста 2 задания , 8 кл

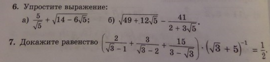
Приложения:

Ответы

Ответ дал: Матов
0
frac{5}{sqrt{5}}+sqrt{14-6sqrt{5}}=\
sqrt{5}+sqrt{(3-sqrt{5})^2} =\
sqrt{5}+|3-sqrt{5}|=3\\\
sqrt{49+12sqrt{5}}-frac{41}{2+3sqrt{5}}=\
sqrt{(2+3sqrt{5})^2}-frac{41(3sqrt{5}-2)}{41}=\
2+3sqrt{5}-(3sqrt{5}-2)=4

(frac{2}{sqrt{3}-1}+frac{3}{sqrt{3}-2}+frac{15}{3-sqrt{3}})*frac{1}{sqrt{3}+5}=frac{1}{2} \
(sqrt{3}+1-3(sqrt{3}+2)+frac{15(3+sqrt{3}}{6})*frac{1}{sqrt{3}+5}=\
(-2sqrt{3}-5+frac{5(3+sqrt{3})}{2})*frac{1}{sqrt{3}+5}=\
frac{-4sqrt{3}-10+15+5sqrt{3}}{2(sqrt{3}+5)}=\
frac{sqrt{3}+5}{2(sqrt{3}+5)}=frac{1}{2}


Ответ дал: Аноним
0
№6
а)√5+√(3-√5)²=√5+3-√5=3
б)√(2+3√5)²-41(2-3√5)/(2+3√5)(2-3√5)=(2+3√5)-41(2-3√5)/(4-45)=                      (2+3√5)-41(2-3√5)(-41)=2+3√5+2-3√5=4
№7
1)2*(3-2√3)+3*(3-√3)+15*(√3-2)/√3(√3-1)(√3-2)=                                    (6-4√3+9-3√3+15√3-30)/√3(√3-1)(√3-2)=(8√3-15)/√3(√3-1)(√3-2)=
√3(8-5√3)/√3(√3-1)(√3-2)=(8-5√3)/(√3-1)(√3-2)=(8-5√3)/(3-√3-2√3+2)=(8-5√3)/(5-3√3)=(8-5√3)(5+3√3)/(5-3√3)(5+3√3)=(40+24√3-25√3-45)/(25-27)=(-5-√3)/(-2)=(5+√3)/2
2)(5+√3)/2*1/(5+√3)=1/2
1/2=1/2
Вас заинтересует