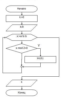
Составьте структурную схему алгоритма подсчитывающую количество чётных целых чисел в диапазоне от А до В.
Пожалуйста как можно быстрее помогите вот с этим заданием. Никак не могу додуматься до решения. Заранее спасибо.
Ответы
Ответ дал:
0
Во вложении
--------------------
--------------------
Приложения:

Ответ дал:
0
Спасибо большое, только если я не ошибаюсь, тут нет условия целых чисел. Границы должны входить - отвечаю на ваш вопрос. И желательно перевести на Qbasic. Пожалуйста исправьте если не сложно, а то в циклах я вообще не шарю.
Вас заинтересует
2 года назад
8 лет назад
10 лет назад
10 лет назад
10 лет назад