Ответы
Ответ дал:
2
Ответ: оцени пж
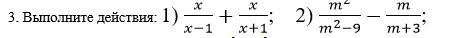
Объяснение: 1)
Приложения:

enderpro2525:
спасибо!
Ответ дал:
1
Ответ:надеюсь помогла))
Объяснение: в первом пункте, где одз х не равен 1 (знак зачёркнутого =)
Приложения:


Вас заинтересует
2 года назад
2 года назад
2 года назад
8 лет назад
9 лет назад