Ответы
Ответ дал:
1
Ответ:
я всё проверила у меня самой это задание было в школе)))
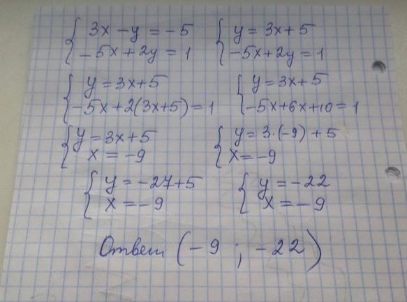
Пошаговое объяснение:
всё верно!)))
Приложения:

Аноним:
спасибо
Вас заинтересует
2 года назад
2 года назад
8 лет назад
8 лет назад
9 лет назад
9 лет назад