Нужно сделать до завтра пожалуйста помогите
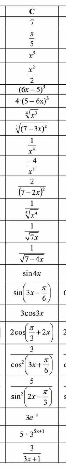
Тренажер "знайди похідну "(найти производную)
фото прекрепила
Приложения:

Ответы
Ответ дал:
2
Ответ:
1
2
3
4
5
6
7
8
9
10
11
12
13
14
15
16
17
18
19
20
21
22
23
Вас заинтересует
2 года назад
2 года назад
2 года назад
8 лет назад
8 лет назад
9 лет назад