• Предмет: Алгебра
  • Автор: m20102006m
  • Вопрос задан 3 года назад

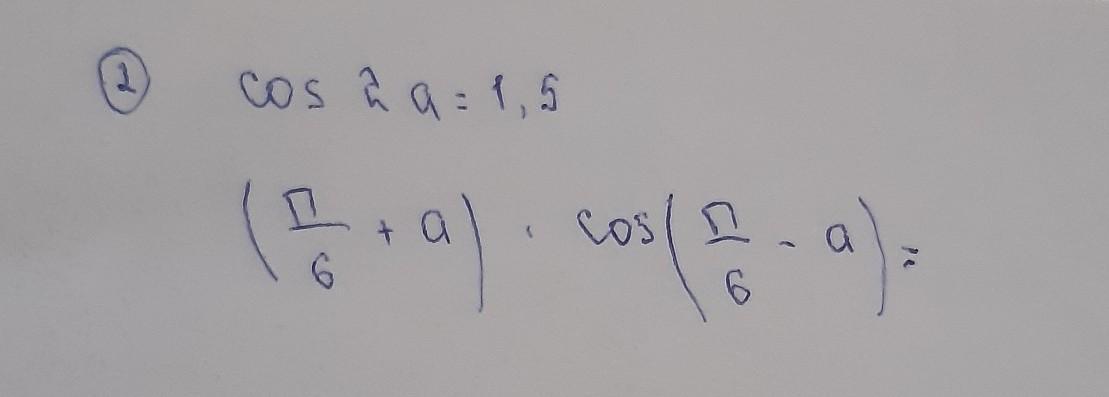
вычислите (п/6+а)×кос(п/6-а)
если кос2а=1,5

ПОМОГИТЕ ПОЖАЛУЙСТА срочноо​

Приложения:

Ответы

Ответ дал: m11m
0

Ответ:

Объяснение:

!!!!!!!!!!!!!!!!!!...

Приложения:

m20102006m: как это
Вас заинтересует