Ответы
Ответ дал:
1
Ответ:
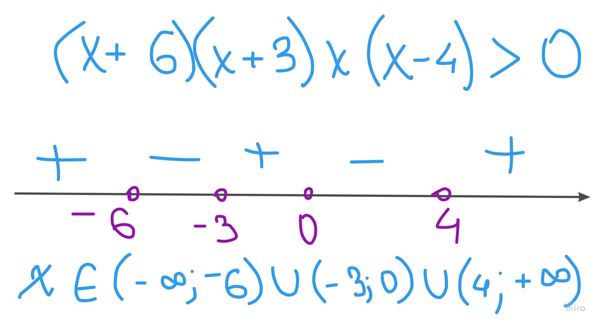
смотри фото
Объяснение:
Приложения:

Alina888880009:
спасибо большое
Вас заинтересует
2 года назад
2 года назад
2 года назад
2 года назад
8 лет назад
8 лет назад