• Предмет: Математика
  • Автор: ryspaevasanali
  • Вопрос задан 3 года назад

помогите пожалуйста, заранее спасибо​

Приложения:

Ответы

Ответ дал: nikitabogoslov7
0

Ответ:

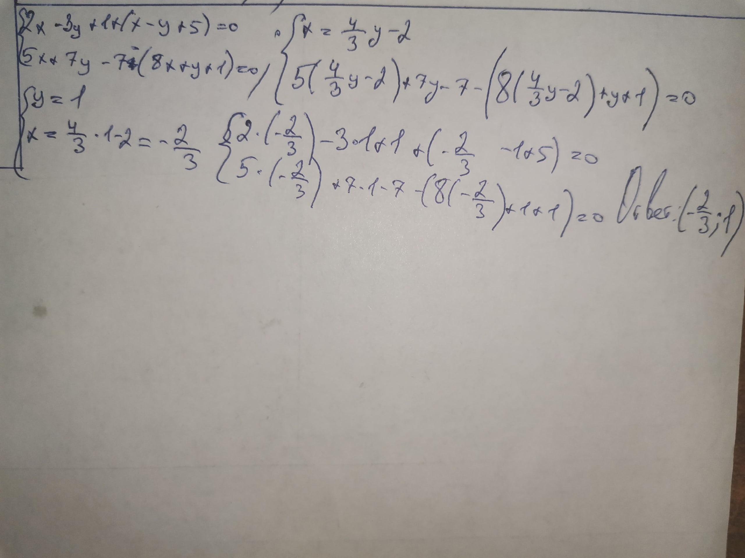
Смотрите фотографию, решал способом подстановки

Приложения:
Вас заинтересует